
丁丑劫馀印存,二十册,分卷。丁仁(辅之)、高时敷(绎求)、俞人萃(序文)、葛昌楹(书徵)四家劫馀之藏印编辑而成《丁丑劫馀印存》此谱。篆刻小站编辑整理分享。是谱板框粗线绿刷,半框横十三点一,竖十九点三公分,扉叶有王禔署“丁丑劫馀印存,屠维单阏律中姑洗之月,古杭王禔篆于沪滨”篆书题耑,里叶有“浙西丁高葛俞四家藏印,集拓二十一部,己卯春成谱。




此二十一字为每部记号,此部拓字”书牌叶,继有高野侯序一则,又王福盦“戊寅夏,杭县丁鹤庐、高络园、馀杭俞荔盦、平湖葛晏庐同辑印记”、“历劫不礳”印记两方,总目一则,每首附印人小传一则,卷二十谱末附照片一帧,书口上署“丁丑劫馀印存”仿宋体字样,中署卷数、叶码,下署“浙西四家所藏”仿宋体字样。





卷一计五十五叶,一叶题耑及书牌叶,三叶序,一叶王福盦“历劫不礳”拓,四叶总目,二叶印人小传,四十四叶钤印,每叶钤印一至八方,印下繫边款,间注明质材,录印六十六方;卷二计五十七叶,一叶印人小传,五十六叶钤印,每叶钤印一至十五方,印下繫边款,录印一百一十九方;卷三计五十七叶,一叶印人小传,五十六叶钤印,每叶钤印一至三方,印下繫边款,录印一百另二方;
卷四计五十五叶,一叶印人小传,五十四叶钤印,每叶钤印一至六方,印下繫边款,录印九十八方;卷五计五十四叶,一叶印人小传,五十三叶钤印,每叶钤印一至四方,印下繫边款,间注明质材,录印一百另四方;卷六计六十三叶,一叶印人小传,六十二叶钤印,每叶钤印一至三方,印下繫边款,录印一百二十一方;
卷七计五十五叶,二叶印人小传,五十三叶钤印,每叶钤印一至四方,印下繫边款,录印八十九方;卷八计五十七叶,一叶印人小传,五十六叶钤印,每叶钤印一至三方,印下繫边款,录印一百方;卷九计五十八叶,一叶印人小传,五十七叶钤印,每叶钤印一至四方,印下繫边款,录印一百一十三方;
卷十计五十九叶,一叶印人小传,五十八叶钤印,每叶钤印一至四方,印下繫边款,录印一百一十八方;卷十一计五十六叶,二叶印人小传,五十四叶钤印,每叶钤印一至三方,印下繫边款,间注明质材,录印九十五方;卷十二计五十八叶,二叶印人小传,五十六叶钤印,每叶钤印一至四方,印下繫边款,间注明质材,录印一百另一方;
卷十三计五十四叶,一叶印人小传,五十三叶钤印,每叶钤印一至二方,印下繫边款,间注明质材,录印九十三方;卷十四计五十七叶,一叶印人小传,五十六叶钤印,每叶钤印一至三方,印下繫边款,录印一百一十五方;卷十五计五十七叶,一叶印人小传,五十六叶钤印,每叶钤印一至二方,印下繫边款,录印一百另六方;
卷十六计六十叶,二叶印人小传,五十八叶钤印,每叶钤印一至三方,印下繫边款,间注明质材,录印一百另三方;卷十七计五十八叶,一叶印人小传,五十七叶钤印,每叶钤印一至二方,印下繫边款,录印九十二方;卷十八计五十九叶,一叶印人小传,五十八叶钤印,每叶钤印一至二方,印下繫边款,录印一百方;
卷十九计五十七叶,一叶印人小传,五十六叶钤印,每叶钤印一至五方,印下繫边款,录印一百一十二方;卷二十计五十四叶,二叶印人小传,谱未一叶照片,五十八叶钤印,每叶钤印一至三方,印下繫边款,间注明质材,录印一百另二方;全谱总录印一千八百四十五方。成谱于民
国二十六年(1937)。






附注:是谱以丁丑劫馀四家各自藏印滙集而成,是谱集自明迄今都二百七十三家,一千九百馀印集拓。共分二十卷,谱后附有印人小传。原拓仅廿一部,以“浙西丁高葛俞四家藏印集拓二十一部己卯春成谱”廿一字为编号。每部四函二十册。

丁仁〈《丁丑劫馀印存》总目〉全文内容
丁丑劫馀印存总目
卷一 三十一人
文徵明 文彭 何震 叶原 程朴 甘暘 归昌世 苏宣 苏肇 梁袠 朱简 徐东彦 吴良止 汪关 吴晋 程邃 汪泓 吴万春 刘卫卿 赵天禧 魏植 诸葛祚 丁元公 丁良卯 江皜臣 陶碧 徐贞木 俞俞庭槐 廷谔 王道淳 林皋
卷二 一十五人
傅山 顾苓 洪昇 葛潜 许容 徐坚 陈瑶典 徐寅 张宏牧 黄昇 林霔 高翔 张日中 乔林 丁敬
卷三 三人
丁敬 蒋仁 邓石如 黄易
卷四 十八人
董洵 项朝蘽 冯洽 朱勇均 张燕昌 汪启淑 徐宝琠 桂馥 顾溥 黄吕 翟赏祖 丁佺 奚冈 孙星衍 陈渭 陈元祚 吴履 赵丙棫
卷五 四人
陈豫锺 姜炜 周芬 酒西鳯
卷六 一人
陈鸿寿
卷七 二十五人
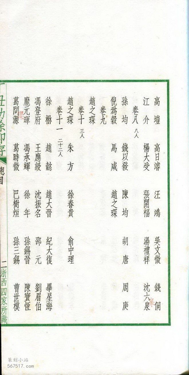
钱善扬 宋保淳 王声振 文鼎 王谐 王芑孙 吴钧 黄学圮 张鏐 陈志宁 屠倬 陈克恕 蒋宗海 钮树玉 江青 高垲 高日濬 汪鸿 吴文徵 钱侗 江介 杨大受 张开福 汤礼祥 沉皋
卷八 八人
孙均 钱以发 陈均 胡唐 周庚 倪为穀 马咸 赵之琛
卷九 一人
赵之琛
卷十 三人
赵之琛 朱方 徐春贵 俞中理
卷十一 二十二人
徐楙 赵懿 赵大晋 纪大复 毕星海 冯登府 王应绶 沉振名 邵元 刘眉伯 庞元晖 冯承辉 徐年 孙锡晋 陈宝恆 葛渠 葛时徵 巴树烜 孙三锡 曹世模 沉金寿 汪之虞
卷十二 二十二人
张上林 吴育 刘懋功 张光洽 张辛 程庭鹭 闵澄波 程晋 丁柱 高桢 戴熙 杨澥 吴文铸 翁大年 项绶章 何溱 李钦 程同寿 吴咨 瞿树本 吴儁 吴传经
卷十三 二十二人
徐士燕 黄寿鳯 李崇基 严坤 李修易 杨与泰 濮森 王云 陈祖望 陈埙 周春谷 郭上垣 陈蟾桂 鲍昌熙 汪鑅 沉叔眉 沉爱蘐 毛庚 魏兆琛 沉传洙 林鸿 陈春熙
卷十四 一人
钱松
卷十五 四人
钱松 华复 胡震 汪籛 任熊
卷十六 十二人
吴熙载 方濬益 温汝扬 翁乐 张熊 江尊 锺权 任淇 汪鋆 潘慰祖 陈雷 郭籛龄
卷十七 十一人
赵之谦 张时恩 王尔度 潘锺瑞 唐翰题 朱国泰 朱崇 陈德大 任晋谦 钱式 朱志复
卷十八 三十人
何昆玉 董熊 高心夔 袁馨 蔡照 施士龙 沉近光 戴有恆 戴以恆 吴鳯堦 闵澐 何屿 吴大澂 陈光佐 陈还 吴诰 高行笃 汪行恭 张国桢 王云 陆泰 王石经 吴山 吴样初 沉宗昉 徐三庚 王诒寿 王同 谢庸 蒋节
卷十九 二十一人
胡钁 王咏霓 江标 邱东霖 傅栻 郭慎行 沉镇 吴昌 张景祁 姚宝侃 赵穆 徐熙 陈宗烈 金鉴 周绍寅 何章寿 任预 殷用霖 任颐 唐辛生 黄士陵
卷二十 二十人
吴俊卿 童晏 方镐 锺以敬 高邕 郑文焯 金承诰 杨宝镛 王大炘 徐新周 胡传湘 吴隐 吴涵 张楫如 陈衡愙 叶玉森 高迥 闺秀 韩约素 方外 达受 赵莲
凡二百七十三人
… …
加微信获取:wenbaozhai365



《丁丑劫馀印存,二十册,浙西劫馀之藏印,一千九百馀印》上有1条评论